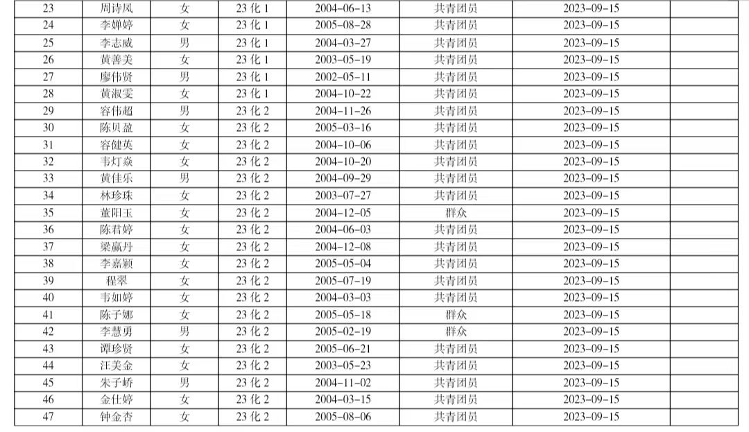
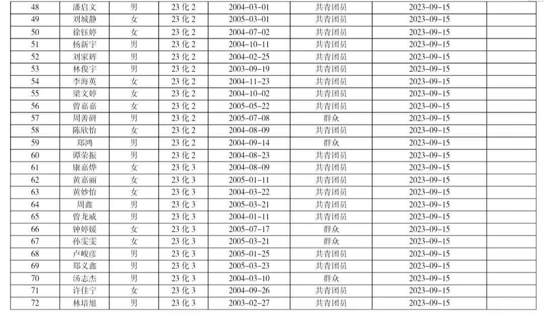
根据《中国共产党发展党员工作细则》规定,现有化学化工学院23化学1班曾文等109名同志按要求向学院党组织自愿递交了入党申请书。现将其有关情况予以公示,征求党员、群众意见。
在公示期限内,个人和单位均可通过来信、来电、来访等形式,向党支部反映公示对象思想品质、现实表现、廉洁自律、培养教育等方面的情况。以个人名义反映的提倡签署或自报本人真实姓名;以单位名义反映的应加盖本单位印章。反映公示对象的情况和问题,要坚持实事求是的原则,不得借机诽谤和诬告。
公示时间:从10月13日至10月17日止,共5天。
支部书记:刘晓颖
支部书记电话:0759-3182846
申请入党人员的基本情况





学生第一党支部
支部书记签名或签章:刘晓颖
2023年10月13日