近日,Food Research International(中国科学院一区Top期刊;IF=8.1)杂志在线发表了岭南师范学院生命科学与技术学院刘锴栋教授(通讯作者)、周艳副教授(第一作者)题为“Physiological and transcriptomic analysis of IAA-induced antioxidant defense and cell wall metabolism in postharvest mango fruit”的研究论文,研究发现外源 IAA能够通过调控芒果果实的抗氧化系统和细胞壁代谢以保持果实贮藏品质。该结果有助于深入了解 IAA介导的芒果果实采后成熟和衰老的新机制。

芒果(Mangifera indica L.)是热带和亚热带气候地区中广泛栽培的果树,“台农一号”是我国广东地区主要栽培的品种。芒果富含丰富的多酚、维生素C、类胡萝卜素、维生素等营养物质。但芒果果实采后易受到各种病害(如炭疽病)和生理障碍的影响,使其贮藏期变短,限制了芒果产业的发展。生长素在果实发育和成熟过程中发挥重要的作用。但是关于外源IAA介导的芒果果实采后成熟衰老的调控机制有待深入研究。
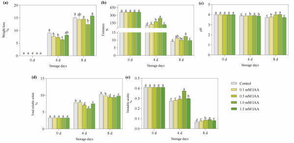
该研究发现,IAA处理降低了芒果果实的失重率,保持了果实的硬度、pH值、总可溶性固形物(TSS)和总酸度(TA)含量;提高了POD和PAL活性以及TP和AsA含量;降低了芒果果实的PPO活性;同时增加了β-半乳糖苷酶(β-Gal)和聚半乳糖苷酶(PG)活性;降低了果实中的果胶甲酯酶(PME)活性。此外,转录组分析发现芒果采后果实中抗氧化相关基因(SOD、 CAT1、 PODs、 GSTs、 Prxs和Trxs)、细胞壁代谢相关基因(PG、PME31和PME63)和TFs(MYBs和ERFs)的表达水平受到IAA处理的影响。结果表明,IAA能够增强抗氧化能力和降低细胞壁代谢来减缓果实采后成熟衰老,最终保持果实的贮藏品质。这些结果为开发芒果采后贮藏保鲜技术提供了重要的理论基础。

Fig. 1. Color change in different concentrations of IAA treatment of mango fruit during storage.

Fig.2. Weight loss (a), Firmness (b), pH (c), soluble solids content (d), and titratable acidity (e) in different concentrations of IAA treatment of mango fruit during storage. Each value is the mean ± standard error (n = 4), and the error bars represent the standard error. Bars with a different letter within a sampling date are significantly different (P < 0.05).

Fig. 3. The model pattern of mango fruit ripening and senescence as mediated by IAA. Red arrows indicate up-regulation, while blue arrows indicate down-regulation.
该研究得到了国家自然科学基金、海南省果蔬贮藏与加工重点实验室、广东省自然科学基金面上项目的资助。
据了解,该团队2022年-2023年共获批3项国家自然科学基金项目,其中面上项目1项、青年项目2项;获批4项广东省自然科学基金项目,其中面上项目2项、青年联合项目2项。近5年,团队在The Plant Journal、LWT、Horticulture Research、Frontiers in Plant Science、BMC Plant Biology、BMC Genomics、Scientia Horticulturae、中国农业科学、园艺学报等刊物上发表论文50余篇。获授权发明专利8件和实用新型专利15件。科研成果于2022年获得中国发明协会创业创新奖二等奖1项、中国商业联合会科学进步二等奖1项。
(图文/周艳 初审/梁金荣 复审/王锂韫 终审/刘锴栋)