近日,岭南师范学院生命科学与技术学院刘锴栋/梁凤颜团队在国际权威TOP期刊《Carbohydrate Polymers》(中国科学院一区,IF:11.2)发表了题为“Chitosan-fucoidan encapsulating cinnamaldehyde composite coating films:Preparation, pH-responsive release, antibacterial activity and preservation for litchi”的研究论文。本研究开发了一种新型绿色智能保鲜涂膜,该涂膜在常温下能使得荔枝果实的色泽和新鲜度保持至少8天。刘锴栋和梁凤颜为论文的共同通讯作者。

研究背景
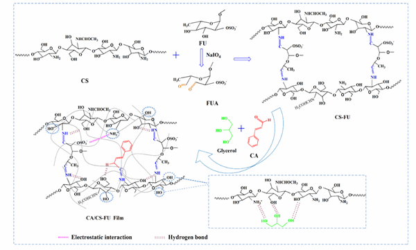
“日啖荔枝三百颗,不辞长作岭南人”,荔枝芳香多汁,营养丰富,素有“中华之珍果”的美誉,深受消费者的喜爱。然而,荔枝成熟于高温高湿的夏季,采摘后仍具有较强的生理代谢,呼吸作用产生CO2等酸性气体致使贮藏环境酸性逐渐增强,这种酸性微环境进一步加速了病原微生物的繁殖,导致果实更易褐变腐烂。在本研究中,作者以壳聚糖(CS)和氧化岩藻多糖(FUA)之间形成壳聚糖-岩藻多糖席夫碱亚胺键为基质包封肉桂醛(CA),制备了一种具有pH响应释放性能的复合涂膜。该复合涂膜表现出优异的热稳定性、紫外光屏蔽和可见光透过性能、水蒸气阻隔和机械性能,并且在弱酸性环境下表现出良好的pH响应释放和抗菌性能。复合涂膜能保持荔枝的新鲜度和色泽至少达8天。因此,该复合涂膜有望成为一种新型环保智能化控释的水果保鲜包装材料。

方案1 研究实验步骤和机理图
研究结果
1. 复合涂膜的制备
作者通过三步法成功合成了壳聚糖-岩藻多糖包封肉桂醛复合涂膜(图1),随后通过核磁共振氢谱、紫外-可见光谱、光电子能谱和热稳定性分析对复合涂膜进行了详细的结构和物理性能表征。

Fig. 1. Synthesis, chemical structure of CS–FU and CA/CS–FU coating films.
2. 复合涂膜的pH响应性能和抗菌性评价
复合涂膜中肉桂醛(CA)的释放量随着pH的降低而增加,在pH=5时的抗菌率相应地比在pH =7时高2.3倍,表明在复合涂膜弱酸性环境中具有良好的pH响应性抗菌性能。

Fig. 2. Entrapment efficiency of coating films (a); CA released of different coating films in buffer media of pH 5, 6 and 7 (b). Antibacterial activity of different coating films on E. coli and S. aureus (a: CS, b: CS–FU, c: CA/CS–FU-0.05, d: CA/CS–FU-0.1, d: CA/CS–FU-0.2) (c); pH-responsive antibacterial activity of different coating films against E. coli in different buffer media of pH 5 and 7 (d).
3. 复合涂膜对荔枝保鲜作用
复合涂膜组的荔枝在常温贮藏8天后,果皮仍保持较好的色泽和新鲜度。此外,复合涂膜组荔枝的失重率和可溶性固体显著低于对照组(p<0.05),硬度、可滴定酸、维生素C含量和总酚含量显著高于对照组(p<0.05),这表明复合涂膜能在常温下保持荔枝的新鲜度和品质至少达8天。

Fig. 3. Appearance changes of litchi fruits coated with different coating films at different storage time.

Fig. 4. Weight loss (a), hardness (b), total soluble solids (c), titratable acidity (d), vitamin C (e) and total phenolics content (f) of litchi fruits with different treatments.
该研究得到了国家自然科学基金、广东省自然科学基金面上项目、湛江市科技计划项目的资助。
通讯作者简介

刘锴栋,博士,教授,现任岭南师范学院生命科学与技术学院院长,主要从事热带特色作物栽培与采后生物学研究。广东省“扬帆计划”高层次人才。主持国家自然科学基金、中央农业技术推广项目、广东省自然科学基金、广东公益研究与能力建设项目等40余项,作为第一作者或通讯作者在The Plant Journal、Carbohydrate Polymers 、Food Chemistry、LWT、Horticulture Research、Food Research International、Frontiers in Plant Science、BMC Plant Biology、中国农业科学、园艺学报等刊物上发表论文50余篇。获授权发明专利7件和实用新型专利11件。获2022年中国发明协会发明创新奖二等奖和中国商业联合会科技进步二等奖。讲授课程《植物生理学》被认定为国家级一流课程、广东省一流课程和广东省课程思政示范课程。获2020年广东省高等教育教学成果二等奖。

梁凤颜,博士,讲师。主要从事多糖改性和果实贮藏保鲜材料研发方面的研究。以第一作者在Carbohydrate Polymers、Journal of Environmental Chemical Engineering、Marine drugs等刊物上发表论文16篇。